SALISID, JOHN EDWARD
TALADUA AURA KAYE
1.Calculus
DEFINITION
The branch of mathematics that deals with the finding and properties of derivatives and integrals of functions, by methods originally based on the summation of infinitesimal differences.
Example:
But no carefully devised calculus can take the place of insight, observation and experience.
I learned it in Basic Calculus.
2. Arithmetic


DEFINITION
Arithmetic is the part of mathematics that is concerned with the addition, subtraction, multiplication, and division of numbers.
Example:
Her progress in arithmetic has been equally remarkable.
I learned it on General Mathematics.
3. Mole
DEFINITION
The mole is the unit of amount in chemistry. It provides a bridge between the atom and the macroscopic amounts of material that we work with in the laboratory.
Example:
The foundations also of the moles that separate the harbours are of Hellenic work, though the existing moles were erected by the Knights of St John.
I learned it on General Chemistry.
4. The Dark Web
DEFINITION
The Dark Web is a term that refers specifically to a collection of websites that exist on an encrypted network and cannot be found by using traditional search engines or visited by using traditional browsers.
Example:
The Dark Web is comprised of websites that are visible to the public, but their IP address details are intentionally hidden.
I learned it on EmTech.
4. Biology
DEFINITION
Biology is the natural science that studies life and living organisms, including their physical structure, chemical processes, molecular interactions, physiological mechanisms, development and evolution.
Example:
You need to have a basic understanding of how things work in biology.
I learned it on General Biology.
5. Lahar
DEFINITION
A lahar ( /ˈlɑːhɑːr/, from Javanese: translit. wlahar) is a violent type of mudflow or debris flow composed of a slurry of pyroclastic material, rocky debris and water.
Example:
Torrents of lahar were also created, adding to the devastation.
I learned it on Disaster Readiness and Preparedness.
6. Molar Mass
DEFINITION
In chemistry, the molar mass M is a physical property defined as the mass of a given substance (chemical element or chemical compound) divided by the amount of substance.
Example:
The next step is to convert the time at which the samples eluted into a measurement of molarmass.
I learned it on General Chemistry.
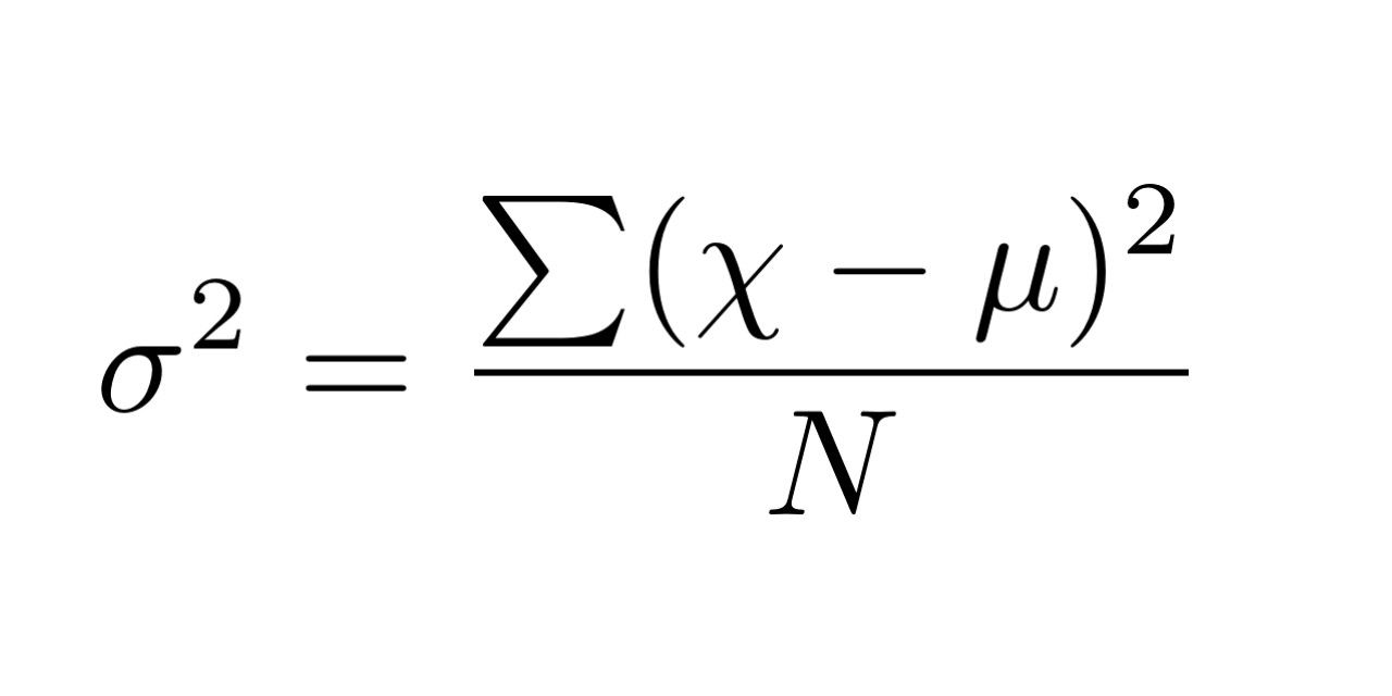
7. Variance
DEFINITION
Variance (σ2) is a measurement of the spread between numbers in a data set.
Example:
He had to get a variance to add a garage on to his house.
I learned it on Basic Calculus.
8. The Id
DEFINITION
According to Sigmund Freud’s psychoanalytic theory of personality, the id is the personality component made up of unconscious psychic energy that works to satisfy basic urges, needs, and desires.
Example:
The Id the set of uncoordinated instinctual trends.
I learned it on Personal Development.
9. Decantation
DEFINITION
The remaining mud of calcium carbonate and hydrate is washed, by decantation, with small instalments of hot water to recover at least part of the alkali diffused throughout it, but this process must not be continued too long or else some of the lime passes into solution.
Example:
The remaining mud of calcium carbonate and hydrate is washed, by decantation, with small instalments of hot water to recover at least part of the alkali diffused throughout it, but this process must not be continued too long or else some of the lime passes into solution.
I learned it on General Chemistry.
10. Eustress
DEFINITION
Eustress is
moderate or normal psychological stress interpreted as being beneficial for the experiencer.
Example:
He called negative stress “distress” and positive stress ” eustress “.
I learned it on Personal Development.




















